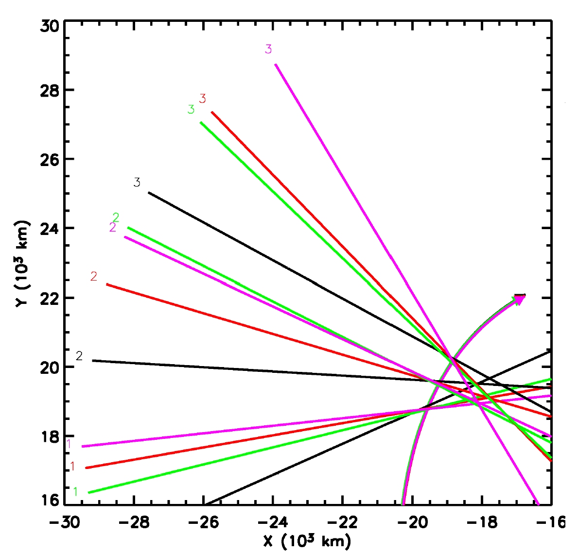
Locating source region of NTC radiation with triangulation

Date: 23 April 2004
Satellite: Cluster
Depicts: Diagram of propagation directions of NTC radiation
Copyright: courtesy Dr. P. Décréau
Orbit and propagation directions projected onto the XY GSE plane (23 April 2002). A narrow band continuum element of ~70 kHz frequency has been chosen for the analysis.
Directions for the four spacecraft (lines in black, red, green and purple colours) are shown at three instants (1, 2, 3 labels). Although spanning a large angular domain, they all point to the same region, placed between the orbit and the Earth. (The Earth is at the origin in this coordinate system.)
Last Update: 1 September 2019