Model and magnetic field data collected during a magnetopause crossing of Earth and Venus
 
Date: 06 January 2011
Satellite: Cluster and Venus Expres
Depicts: Model and magnetic field data collected during a magnetopause crossing of Earth and Venus
Copyright: Courtesy of Marius Echim, IASB, Brussels, Belgium
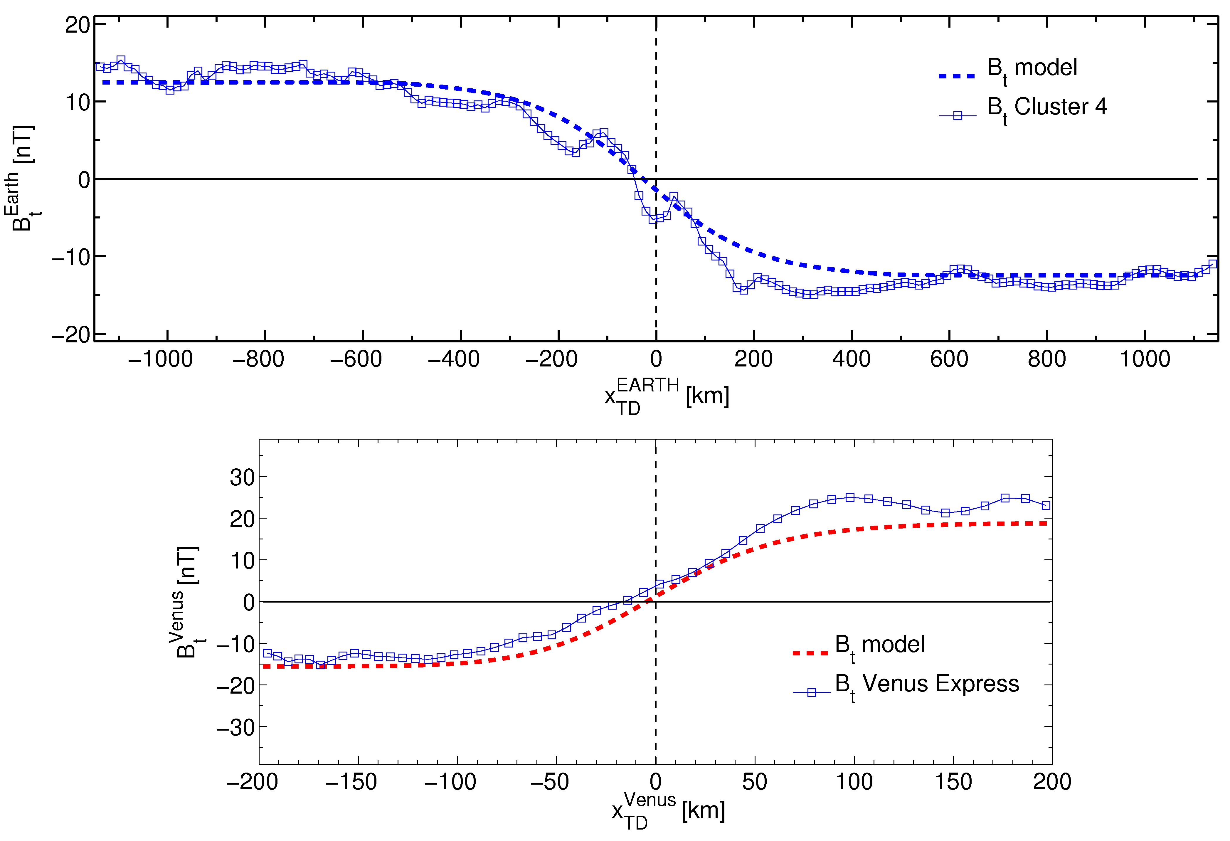
On 27 June 2006, the Cluster and Venus Express spacecraft crossed the magnetopause of the Earth and Venus respectively. The magnetopause is the outer boundary layer of a planet's magnetosphere.
In this figure, the spacecraft data are compared with the output of the same theoretical model of plasma interfaces. The model used the plasma conditions measured that day near the magnetopause of Venus and Earth (Echim, M. et al. [2010]).
The two plots show the magnetic field component tangential to the magnetopause (Bt) for the Earth (upper plot) and Venus (lower plot), as derived from the spacecraft data and from the theoretical model of the planet's magnetopause.
Upper plot: Measurements collected by the fluxgate magnetometer (FGM) on-board Cluster 4 (squares) and model results (dashed line) of the terrestrial magnetopause crossing on 27 June 2006. Data are shown in the magnetopause frame. The solar wind side is on the right and the magnetosphere side is on the left.
Lower plot: Measurements obtained by the magnetometer (MAG) on-board Venus Express (squares) and model results (dashed line) for a magnetopause crossing on 27 June 2006. Data are shown in the magnetopause frame. The solar wind side is on the left and the magnetosphere side is on the right.
